The NBA Playoff Bracket is set and are set to begin today. The weirdest season in recent memory is entering the final stretch and will crown a champion soon. Before the playoffs start, let’s see how good the chances are for the 16 playoff teams and preview the 8 first round matchups.
Playoff Chances
Methods
The first thing that I did when analyzing this year’s playoffs was to come up with a model that predicts which team will win a series given a few variables. Using the probabilities of each team winning a series, I could then find the probability of each team winning the championship based on the already set playoff bracket.
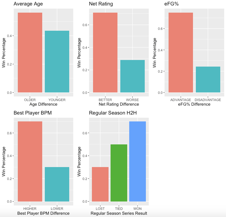
First, I chose which variables I should use. I came down to five different inputs: average age difference, net rating difference, eFG% advantage, best player BPM difference, and regular season head to head difference. I used differences for each variables in order to reduce the number of variables needed as inputs. The average age component gives some insight into how experienced a team is as more experienced teams often have better playoff success. The net rating difference gives a quick overview of regular season performance and the best player BPM difference shows which teams have truly dominant players that can take over a game. The eFG% advantage is a one number summary which basically summarizes how good a team is a shooting the ball and defending shots. The formula is [(team offensive eFG% – opponent offensive eFG%) – (team defensive eFG% – opponent defensive eFG%)]. Finally, the regular season head to head difference is the number of regular season head to head wins minus losses. This input helps find certain teams that struggle against others because of matchup problems or other factors that cannot be accounted for in the model. It also gives some variability to the model by not giving it a definite hierarchy. For example, this year (according to the model) the Heat are more likely to beat the Raptors than the Celtics, whereas the Bucks are more likely to beat the Celtics than the Raptors.

Using the results of all the playoff teams, I constructed a table to give the probability of any playoff team in a series against any other playoff team. By going through all of the possible playoff bracket results and using the series win probabilities, I then found the chances of each team advancing to a certain round. The table should be read by taking the row of the team and the column of the opponent, where the corresponding number represents the probability of the team beating the opponent in a seven game series.

Results
Going by each round, the probability for each team advancing is shown.




When looking at the results given by the model and the table, one thing jumps out. The Bucks are heavily favored in every single round against every possible opponent. The model gives over a 75% chance for them to win the championship, which is super high considering that there are two other powerhouses this year in the Lakers and the Clippers. The reason for the Buck’s dominance is that they excel in every variable in the model except for head to head results. They have the second highest average age (behind only the Lakers), the best net rating (by a lot), the best eFG% advantage (best offensive and defensive eFG%), and the player with the highest regular season BPM (Giannis Antetokounmpo). Meanwhile, out west, The Lakers, Clippers, and Rockets emerge as the main contenders, with the Nuggets seeming like the odd team out among the top four seeds. When looking at the results for championship chances, three teams emerge as significant title contenders: the Bucks, Lakers, and Clippers. In the past ten years, each of the champions has had at least a 4.8% chance of winning, which each of these teams have. Additionally, the Bucks super high probability is not unprecedented, with the Warriors and Heat also being greatly favored in 2015 and 2013, respectively.

First Round Previews
1 Bucks vs 8 Magic
Bucks series win probability: 99.3%
Expected Result: MIL in 4
Game 7 Probability: 2.8%
The first matchup is the Bucks against the Magic. This matchup puts the best team in the playoffs against the worst team in the playoffs. It shouldn’t be competitive at all, with the Bucks expected to sweep the Magic. If the Magic hope to steal a few games from the Bucks, they must rely on their few strengths: winning the turnover battle and offensive rebounding. The Bucks swept the Magic in the season series, and I expect the same to happen in the playoffs.

2 Raptors vs 7 Nets
Raptors series win probability: 85.4%
Expected Result: TOR in 5
Game 7 Probability: 20.1%
The defending champions will face the Nets in the first round. The Raptors have thrived despite the loss of Kawhi Leonard with a stout defense which forces opponents to shoot poorly and turn the ball over. The Raptors do not have one great player, but rather several good players, which does hurt them in the model a little bit. The Raptors should easily take care of the Nets, winning in 5 games.

3 Celtics vs 6 76ers
Raptors series win probability: 57.5%
Expected Result: BOS in 6
Game 7 Probability: 30.8%
This matchup has the most upset potential in the first round of the Eastern Conference. The reason for the 76ers surprisingly high chance of winning is their 3-1 regular season head to head record against the Celtics. However, with the loss of Ben Simmons, the 76ers should struggle to defend the Celtics and their plethora of offensive options. The model cannot take this into account as Joel Embiid is the player with the best BPM on the 76ers, so their chances are probably lower than shown. However, an upset can happen if the Celtics cannot take advantage of the lack of Simmons’ defense and can’t contain Joel Embiid.

4 Pacers vs 5 Heat
Pacers series win probability: 22.2%
Expected Result: MIA in 5
Game 7 Probability: 24.7%
Even though the Pacers have the higher seed, the Heat are heavily favored in this first round matchup. The Pacers are without their best player, Domantas Sabonis, which hurts their chances in the model. The biggest decider of this series could be at the free throw line, where the Heat have the second most free throw attempts per 100 possessions (25.3) while the Pacers have the least (19.2). Another battle to watch will be the 3 point shooting, where the Heat have the second best 3 point percentage but the Pacers are the fourth best team at defending the 3 pointer. The Heat should win the series easily, going only 5 or 6 games.

1 Lakers vs 8 Trail Blazers
Lakers series win probability: 86.1%
Expected Result: LAL in 5
Game 7 Probability: 19.6%
The Trail Blazers won the play in against the Grizzlies for the right to play the Lakers in the first round. Many think that the Blazers and Damian Lillard will pose problems for the Lakers in the first round with their explosive offense, but it may not be enough to keep it close. The reason is the Trail Blazer’s horrific defense, with the worst defensive rating of any playoff team. While offensively the Trail Blazers could match the Lakers, defensively they won’t be able to stop them and will struggle to contain the two Lakers superstars in LeBron James and Anthony Davis. Even though the Trail Blazers have been impressive in the NBA restart, expect the Lakers to win in 5 or even sweep.

2 Clippers vs 7 Mavericks
Clippers series win probability: 71.2%
Expected Result: LAC in 6
Game 7 Probability: 27.6%
The Clippers and Kawhi Leonard face off against Luka Doncic and the Mavericks. While Doncic and the Mavs are seen as a pretty underrated team by the model due to their high net rating and eFG% advantage, the Clippers are heavily favored. The Clippers have won all three of the regular season matchups between the two teams, bolstering their chances in a seven game series. The Mavericks drew an unfortunate opponent, and are likely to be sent home after 5 or 6 games.

3 Nuggets vs 6 Jazz
Nuggets series win probability: 53.7%
Expected Result: DEN in 6/7
Game 7 Probability: 31.1%
This matchup is actually the closest of the first round. Though many expect the Nuggets to win, the Jazz have a very good chance because of they are older, have a higher net rating, and a greater eFG%. The only reason the Jazz aren’t favored is because the Nuggets have the best player of the series (Nikola Jokic) and are 3-0 against the Jazz this year. The Nuggets are missing a few contributors like Will Barton and Gary Harris, but the Jazz are also missing key pieces in Mike Conley and Bojan Bogdanovic. Without Bogdanovic or Conley on the floor, the Jazz net rating falls to -3.7, with their offensive rating taking the biggest hit, dropping from 111.8 to 104.1. This series should be the closest in the first round and the most likely to go to a game 7.

4 Rockets vs 5 Thunder
Rockets series win probability: 72.6%
Expected Result: HOU in 5
Game 7 Probability: 27.1%
Chris Paul and Russell Westbrook play their former teams as the Rockets face the Thunder in the first round. The age difference is the major reason for the Rockets being favored, as the Rockets have the third oldest team in the playoffs whereas the Thunder have the second youngest. The Rockets also have James Harden leading their team, the player with the second highest BPM in the regular season. The Westbrrok loss shouldn’t hurt too much, as the Rockets are actually better with just Harden than with Harden and Westbrook (+5.6 net rating to +7.7). The only issue with Westbrook’s absence would be Harden playing more minutes which could tire him for future series. Even though the Rockets won’t have Westbrook for a few games, they should still be expected to win against the Thunder.

Conclusion
The first round of this year’s playoffs do not have many great matchups. The only two close ones are the Celtics vs 76ers and the Nuggets vs Jazz. Even the Celtics-76ers series probably won’t be as close since Ben Simmons is out for the season. However, the later stages of the playoffs should be most exciting. Potential second round matchups such as the Lakers-Rockets and Raptors-Celtics would be close and fun to watch. Additionally a potential Lakers-Clippers conference finals would be very entertaining.
In respect to title odds, the Bucks seem to be the heavy favorites. While they remain the betting favorites, the Bucks have not been discussed as favorites as often as the Clippers or the Lakers. Most expect the Clippers or Lakers to beat the Bucks in a potential finals series since the Lakers and Clippers have established playoff performers in LeBron James and Kawhi Leonard, whereas the Bucks have not had as much playoff success. Recency bias is another major reason the Bucks are not being talked about as much, since the Bucks did not do anything significant in the bubble as they rested their players often. Despite the recency bias and lack of previous playoff success, the Bucks should still be considered the favorites of this year’s NBA playoffs.
